|
今回は2002年3月26日〜29日まで行われた日本化学会第80春季年会について有機化学を中心に日記形式で風景をお話しよう。場所は早稲田大学。 |

図1 大熊講堂 |

4A2-12 放射菌より単離されたブタノリド−ラクトンT−の合成と立体化学
(阪市大院理 前尾順子、植木寿彦、森本善樹、木下隆正)

(S)-リンゴ酸から誘導されるラクトンとジエナールとのアルドール反応の後、ジアステレオマー分離のため水酸基の酸化、還元によってジアステレオマーを分離した後、脱保護を行い1の絶対立体配置を明らかにした。
○4A3-27 海洋産抗腫瘍活性アルカロイドManzamineAの全合成研究
(千葉大院薬 内田秀春、有澤光弘、西田篤)

閉環メタセシス反応を用いて8員環及び13員環を構築し五環性化合物を合成した後、二つのラクタムのカルボニル基を還元することでManzamineAの合成を試みたが、A環のラクタムの還元が立体障害により進行しなかったため、今後13員環を構築する前にラムタムの還元を行う予定。
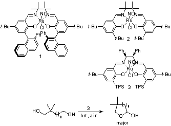
○3G8-31 サレンルテニウム錯体を触媒とする第一級アルコールの化学選択的酸素酸化
(九大理 宮田篤、入江亮、香月勗)
3G8-32 サレンルテニウム錯体を触媒とするジオールの位置選択的酸素酸化
(九大理 古川瑞樹、宮田篤、入江亮、香月勗)
演者らはサレンルテニウム錯体1は光照射下、分子上酸素を用いることで第一級アルコールのみを選択的に酸化できることを既に報告している。
更なる選択性の向上を目指し新たに錯体2、3を合成した。1のナフチル基をt-Bu基に変えたところ選択性が向上し、二級アルコール存在下、一級アルコールのみを選択的に酸化している。また、エチレンジアミン部にフェニル基を有する錯体3は一級アルコール同士でも立体的に小さなアルコールを選択的に酸化している。

■1G8-34 LBAを用いるエナンチオ選択的環化反応を鍵とする(-)Ambroxの全合成
(名大院工・SORST・JST)○石橋英章・石原一彰・山本尚

ステロイド系の生合成経路に関してポリエンの環化機構がStorkとEschenmoserによって提唱されている。この生合成経路を化学的手法で行うことは合成化学的に有用であり、興味深い。今まで様々な研究がなされてきたが、収率はあまりよくない。
1のような化合物に対してLweis acid-assisted chiral Bronsted acid(chiral LBAs)を作用させることによりエナンチオ選択的なポリエン環化反応を報告している。
今回は、この反応を応用し(-)Ambroxの全合成を達成している。

achiralなルイス酸種の生成を避けるためにはじめはTES基で保護し、chiralLBAを用いてエナンチオ選択的にA環を構築した後、achiralLBAを用いてジアステレオ選択的にB,C環を構築した。
■3A1-32 海洋天然物Eunicelinの全合成研究
(岡山大工)石川彰彦○岩田光貴・斉藤清機
Eunicelinは1968年に珊瑚の代謝産物として単離されたジテルペン類であり、9員環9つの不斉点を有し、その複雑な骨格は現在でも合成化学者の興味の対象となっている。
発表者らは自身で開発したヒドロキサム酸を連結して用いる、分子内Diels-Alder反応を鍵反応としコア骨格の構築を行った。
ヒドロキサム酸を使用する理由は最安定配座が固定されているため、生成物が単一のジアステレオマーのみ得られるかららしい。(Bnが重要)。得られたヒドロキシサム酸Diels-Alder体はLAH還元し,Zn,Cu(OAc)2,AcOH,H2O)でヒドロキシフラン環に変換可能。

|