Chem-Station-WhatsNew!-BBS-GuestBook-Chat-オークション-サイトマップ


理論段数 "Theoretical plate number"

 

 理論段数とは,カラムの性能を表す指標です.この数値が高ければ高性能なカラム,つまり分離性能の良いカラムであるといわれます.しかし,カラムを長くすればそれだけ固定相の量が増えるため,理論段数は長くなります.そこで,1理論段当たりのカラム長さで表すことで,どんな長さのカラムでも性能を比較することができます.この1理論段当たりのカラム長さ Height equivalent to a theoretical plate (HETP) が重要となります.

 

分離性能は,固定相との接触回数に比例する

   

 溶液状態の二種類の成分を分離する場合.液体クロマトグラフィーでは各種固定相を用います.この固定相と成分A,Bが何度も何度も接触することで,固定相と親和性の高い成分は固定相上に留まる時間が長くなり,成分Aとの分離に成功します.成分が固定相に移動するか移動相溶媒に溶けたまま流れるかは,溶質である成分A,Bが固定相に接近すればその都度選択します.つまり,この接触回数が増えれば固定相に行くかどうかの選択回数も増えるため,結果的に固定相上に留まる時間が長くなります.この接触時の選択というものが,分液漏斗内での液液分離と同じなのです.そう,クロマトグラフィーとは,分液漏斗を繰り返し繰り返し使用しているのと同じなのです.そして,この接触回数が「理論段数」と呼ばれるものです.

図1. 溶質の移動 固定相と移動相の選択は分液漏斗内と同じ

  

 分液漏斗を繰り返し用いるという操作を簡単にしたものが,向流分配といいます.向流分配は,上層と下層が向かい合う方向から移動し,互いに接触しながら反対方向へ移動するという仕組みです.向流分配における下層を固定して,上層だけが移動するのが一般的なクロマトグラフィーということになります.

   

 

図2 .向流分配の様子 上層に存在する溶質が下層にも分配され,移動した上層と下層は新たに分配を繰り返す

 

 この操作を繰り返すと,溶質濃度の濃い部分と薄い部分が出現することが想像できますね?この濃い部分が,下のクロマトグラム上に現れるピークに相当します.ピークは成分濃度の高さを表現しています.

 

クロマトグラムから理論段数を求める

 

 クロマトグラフィーから得られる下図のような結果を「クロマトグラム」といいます.このクロマトグラムは,HPLCやGCでは装置が勝手に印字してくれます.今ではパソコン制御が一般的ですが,専用の印刷機(クロマトパック)を使用しても同様です.なお,この際には図中にあるようなピークについて,その高さと面積も計算して出力してくれます.このときの単位は,AUという電気信号の強さですので,通常出力される値は紫外可視吸収検出器を使っていても数値がそのまま吸光度とはなりません(変換することはできます). 最近ではAbs.という単位で表示するものもあります.

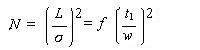
Fig.クロマトグラム上から理論段数を求める

 

 ある成分が検出器に至までに要した時間(保持時間)をt1とします.この成分のピークが正規分布(左右対称)している場合,ピークの半値幅かピーク底辺の長さから理論段数を求めることができます.クロマトグラフィーでは,ピーク面積とピーク高さは計算して出力してくれるので,ピークを二等辺三角形で近似して底面積を求める方がカンタンです(=面積×2/高さ).

 

      

 

という関係から,底辺の長さwを使って理論段数Nを算出します.この際,ピーク面積とピーク高さから求められる底辺の長さは電気信号の単位AUであって,このままでは保持時間tと単位が揃いません(理論段数は無次元で, は比例定数で16.00).そこで,底辺の長さを時間の単位に変換します.どうやって?定規でピーク底辺の長さを測り,このときの1cmなり単位長さがクロマトグラム上で何minであるか計って地道に変換します・・・パソコン制御であれば編集画面で容易に変換できます.

 

また,この方法では,線速度*が一定であることを条件にしていますので,アイソクラティック*移動相でのみ適応でき,グラジエント*をかけた場合は線速度が変化するため理論段数を求められません

 

理論段数から何が分かる?

  

 クロマトグラム上から理論段数を求めることができるようになりました.さて,溶質には何を使って求めればいいのでしょうか?理論段数とは,固定相と移動相との接触回数です.つまり,固定相の表面積に比例する値です.例えば,溶質に保持されやすい化合物と全く保持されない化合物で比べてみましょう.保持される化合物は,固定相と何らかの相互作用をしていることになります(固定相に居る方が移動相に溶けているより居心地がよい).

 

一方で,全く保持されない化合物は固定相と接触しても相互作用を受けずに溶出してきます.どちらが正確に接触回数と相関があるか,それは一目瞭然で全く保持されない化合物です.ただし,固定相には細孔と呼ばれる小さな穴が無数に存在することで表面積を稼いでいますので,分子形状から引っ掛かるなどの物理的要因で全く保持されない化合物は存在しないため,これも目安です...一般には,全く保持されない化合物は有機溶媒系移動相でウラシル(吸収254nmか270nm付近),水を含む移動相では亜硝酸ナトリウムもしくは硝酸ナトリウム(吸収254nm付近)を用います(議論の末,現在はこれらを用いています).この全く保持されない時間を「空保持時間」といいます.

 

 余談ですが,私の実験では,細孔を持つ充填剤を使用したカラムで分子量の大きな化合物,例えばシアノコバラミン(ビタミンB12,吸収520nm付近)を測定すると,ウラシルや硝酸ナトリウムよりも早く溶出しました.

 

これは細孔内にシアノコバラミンが入れなかった事を示しています(細孔径と分離対象の関係については今後掲載予定).また,厳密には空保持時間と紫外可視吸収検出器で現れるソルベントピーク(インジェクトした試料溶媒と移動相溶媒組成が異なる場合に早い段階で出現するピーク)も一致しません.

 

 HPLCカラムのカタログで5万段以上の〜などと書かれていたりしますが,実際は移動相に用いる溶媒や流速にも左右されますので,参考程度の値だと思います.次回は線速度と理論段数の関係,van Deemter曲線について考えてみましょう.

 

分析化学も たまには面白いですよ! (2006. 4.21 ぺんぎん)

 

参考、関連文献

 

[1] 新版 新版 実験高速液体クロマトグラフィー,波多野 博行, 花井 俊彦 ,化学同人,1988
[2] 入門クロマトグラフィー,Gritter,Bobbitt,Schwarting著,原 昭二訳,東京化学同人,1988
[3] 分析化学〈1〉基礎化学コース,井村久則,鈴木孝治,保母敏行,丸善,1996
[4] Hplc Columns , Uwe D. Neue, wiley-vch,1997

 

その他,一般的なクロマトグラフィー入門書でも同様の内容があると思います.

 

【用語ミニ解説】


線速度

 

カラム長さを移動相がカラム内を通過するのに要する時間(空保持時間)で割って得られる速度のこと.ポンプ流速を上げると線速度も速くなる.

   

 

 

 液クロを上手につかうコツ―誰も教えてくれないノウハウ
液クロを上手につかうコツ―誰も教えてくれないノウハウ

 

最もポピュラーな分析法である高速液体クロマトグラフィー(HPLC)を、上手に使いこなすためのノウハウ、職人的なコツを掲載。
  
  

アイソクラティック

 

測定中,同じ移動相をずっと用いて組成変化させない条件のこと.→グラジエント

 

 

 

 

 

  

 


グラジエント

 

測定中に,移動相の溶媒組成を変化させながら分離する手法.一般に溶出力の高い溶媒の割合を時間と共に上げながら測定すると,測定時間を短縮できる.1つのポンプで2〜3種類の溶媒を吸い上げて混合する低圧グラジエントと,1つのポンプで1種類の溶媒を吸い上げ,2つ以上のポンプを並列させて移動相溶媒を混合させる高圧グラジエントがある.高圧グラジエントの方が気泡が発生しにくいなどの利点があるが,主に2つのポンプを用いた2液混合であり,3ポンプ以上使用のグラジエントすることはあまりない(パソコンの制御ソフトが対応していない場合もある).また,アイソクラティックに比べクロマトグラムのベースラインが安定しにくい.特に定量分析の場合には影響を受けることがある.さらにポンプ性能が悪いと同一条件でも混合時の組成が必ずしも一定にならず再現性が得にくい場合もある(→脈動).

   

 

 

 

 

 

脈動(ポンプの)

 

設定流速通りにならない状態.または,1分など長い時間での平均は設定通りになるが,その間の流速の最大値と最小値に幅がある状態.アイソクラティックでも影響を受けるが,グラジエント移動相調整の溶媒混合時に問題となり,クロマトグラム再現性が悪くなる.

 

 

 

 

  

 

 

 

 

 

 

 

シアノコバラミン

 

 

ビタミンB12 (Vitamin B12) とも呼ばれ、ビタミンの中で水溶性ビタミンに分類される生理活性物質である。