Chem-Station-WhatsNew!-BBS-GuestBook-Chat-オークション-サイトマップ


Synthesis of Brevicomin 〜ブレビコミンの合成法〜

           

 

ブレビコミンとは集合フェロモンの一種である。集合ホルモンは、昆虫から分泌されるフェロモンに加えて、その昆虫が好んで 集まる動物から分泌される物質も一緒に働き、同種の仲間を呼び集めると言われている。日本でも、大きな環境問題になっているマツクイムシに代表されるような、森林の樹木につく害虫(キクイムシ)から分泌される集合フェロモンにブレビコミンと呼ばれているものがある。  ブレビコミンは図1のような構造をしている

図1 ブレコミンの構造(左 平面構造式 右 立体構造式)

ブレビコミンの基本骨格式を立体構造式で表してみると図1の右のようになる。 ここ注意しなくてはならないのは、

「ビシクロ系を1位および5位は必ずシスでなければならない」

と言う制約がある。シス体でないと5員環を作ることができない。 7位のエチル基のつき方にはそのような制約はない。 この点に注意して合成法を考えてみよう。

1、立体特異的なエポキシ化反応による合成

                                                                       T.E.Bellas,R.G.Brownlee and R.M. Silverstrein , Tetrahedron,25,5149

 

2,Cram則による立体規制を応用した合成

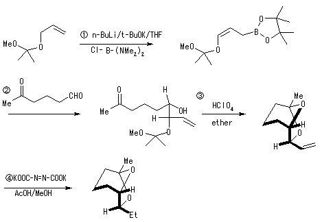
3.アリルボランの求核性を利用した合成

(by ブレビコミン 2000/6/8 作成中)