Chem-Station-WhatsNew!-BBS-GuestBook-Chat-オークション-サイトマップ


超分子-シクロデキストリン 基礎編

 

  超分子(supramolecule)という言葉を聞いたことがあるだろうか?超分子という言葉は,1987年にC.J.Pedersen, D.J.Cram,J.M.Lehnらが超分子の基本的概念の一つである「分子同士の会合による分子認識」という課題でノーベル賞化学賞を受賞してから広く知れ渡るようになった言葉である。超分子で有名なところではクラウンエーテル、シクロデキストリン、デンドリマーなどがある。

 今回は超分子の中でも古くから知られ、生活にも浸透しているシクロデキストリンを中心に超分子の世界、利用法、研究について簡単に覗いてみよう。

 

超分子化学概要

 

 超分子化学は分子間の弱い相互作用を利用して、特定の構造、機能を持つ分子の集合体を創り出すことを目標としている。原子、分子の自律的な集合により無機、有機、高分子物質などが形成される。また生物体では、蛋白質や核酸、脂質などの基本となる分子が自律的に組織化されて、生命の最小の独立単位である細胞となり、これがさらに器官、個体へと自己組織化する。このような高度の組織構造を人工系に求めるのは現状ではまだ不可能である。しかしながら、超分子ないしは分子システムの概念が生体機能の理解だけでなく、新しい機能物質の開発に重要な役割を果たすことが広くに知られるようになり、超分子化学は、生命科学、物理学、化学、エレクトロニクスなど、幅広い科学と技術の分野を統一的に結びつける概念として広がっている。とくに分子化学の分野では、分子同士の2次的な結合を利用して、より高次の組織構造を持つ分子システムを作成することは最大の課題と言ってもよいであろう。核酸分子に見られる情報伝達やたんぱく質分子の高次構造の維持、機能発現などの原理を人工分子系で再現することが目標の、分子レベルでのシステム構築の学問である。

 

 

シクロデキストリンとは?

 

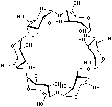
 シクロデキストリン(CD)はデンプン類に微生物酵素を作用させて得られる環状オリゴ糖である。(図1)グルコース分子がa-1,4グルコシド結合で結合している。グルコースが6個環状に結合したものがa-CD、7個をb-CD、8個g-CDと呼んでおり、その存在は100年以上も前から知られていた。

 

 

 

図1 a-CDの構造

 CDの最も重要な特性は空洞に種々のゲストを取り込み、包接化合物を形成することである。包摂化合物の形成にはゲスト化合物とホスト化合物(CD)とのvan der Waals力並びにゲスト化合物とCDのヒドロキシル基との水素結合が機能していると考えられている。

 工業的規模でのCDの生産は1980年代になって日本で開始された。現在、工業的規模で1年間に世界中で2000トン以上のCDが生産されている。

 

研究

 

 ここの分野は具体的には後に応用編として話すので、簡単に触れてみよう。

 天然のシクロデキストリンは物性や機能性に限界がありその用途にも制限があるため近年新しいCDの誘導体の開発のため多くの研究がなされている。研究分野の概要を示す。

 

酵素モデル化合物の設計

 天然の酵素の欠点を克服するために様々な人工酵素の研究が行われているが、それには天然の酵素を修飾していく方法と、酵素の構造、反応メカニズムを解明し、別の化合物(酵素モデル)を作り出すという手法がある。後者の酵素モデルにはシクロファン、クラウンエーテル、カリックスアレン、そしてシクロデキストリンが使われ、その疎水性

図2 修飾CDによる酵素モデルの概念

空洞を基質の取り込み部位に見立てた(図2)酵素モデル化合物の設計が盛んに行われている。

 

合成化学分野の利用

 CDは疎水性空洞が特異的な反応場を提供し、基質の反応特性を変化させる作用を持っている。CDを利用した反応を理解するためには包接錯体の動的挙動を理解しておく必要がある。溶液中では基質はCDの空洞に入ったままではなく出入りを繰り返している。よってCD空洞外で反応がおきている可能性も常に考慮しなければならない。

 

 反応系中にCDを添加することによって次のような効果が期待される。

 1、微視的溶媒効果(基質周囲のミクロな環境だけを反応溶媒とは違うものに出来る。)

 2、コンホメーション効果(コンフォメーションの制御)

 3、反応基質同士の分子配向の制御

 4、分子サイズの制御

 5、不安定な中間体及び生成物の保護

 6、難溶性物質の可溶化

 

 簡単な例をあげるとDiels-Alder反応(図3)においてエンド/エキソの選択性には反応溶媒依存性があり、水中で反応を行うことによりエンドの選択性が増すことはご存知であろう。これにβ-CDを添加するとさらにエンド選択性が増す。

図3 Diels-Alder反応(シクロデキストリン添加)

 

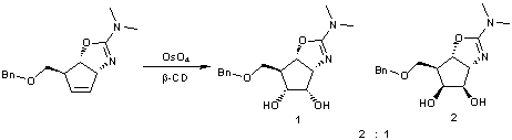
 また、図4のように四酸化オスミニウムとの反応によりシスジオールを得ることが、2種類出来てしまい、THF-水3:1の溶媒中で反応を行うと1:4.6の比率で2が生成する。この比率を逆転させることは難しかったが、β-CDと包接錯体を形成させると2:1の比率で化合物1を主生成物として得ることができた。これはCDがO-Bn基を取り囲み有効な立体障害因子として作用したためである。(J.Molecular Catlysis,70,399,1991)

 

 図4OsO4酸化(シクロデキストリン添加)

 

電気化学分野の利用

 電気化学的に活性な基質の電気化学反応を電気化学的に不活性なCD存在下に行うと、様々な特徴のある成果を得ることが出来る。また、CD修飾電極も研究されている。

 

 

シクロデキストリンの利用

 

 話を簡単にして生活上、一般分野で使われているシクロデキストリンについて触れてみよう。

 

・食品分野

  CDは食品分野へ利用されているものが圧倒的に多い。一般に使われているものの代表としては、粉末香辛料、包接香料、異味異臭の除去などである。ホスト(シクロデキストリンもしくはその誘導体)がゲスト(香辛料、香料等)を取り込み酸化、分解、揮発性、固化防止等の機能を与えている。

 チューブ入りのわさびはみなさん知っているであろう。これにもわさび成分の安定化を目的としてCDが使われている。

 

・建材分野

 例として、シクロデキストリンには難溶性物質を溶かすという働きがあるため、水性塗料用の増粘剤の粘度を低下させる目的で使われている。増粘剤は粘度が高いため、そのままでは水には溶けない。そのためCDで包接された増粘剤を水溶性のペイントに加えて溶解する。その後界面活性剤により増粘剤の包接をはずしペイントの粘度を復元するという使い方をする。

 

・化粧品分野

 香りの保持や、持続性、水への溶解性、保湿性などの特徴のもつCD誘導体を石鹸や、シャンプー、香料に使用している。

 

 以上、シクロデキストリンを主に超分子について簡単にまとめてみましたが、アカデミックな部分も多く、工業的な方向性も秘めていて、また他分野の科学者の興味を引くような分野はなかなか少ないものです。超分子化学はまさにその分野のひとつといってよく、「超分子科学」という分野に繋がっています。難しいが、無限の可能性を感じる、ってちょっと大げさですけど面白いと思いませんか?次回は具体的な使用法、研究の応用(主に有機合成)について書いてみたいと思います。

化学って面白いよね!

(2001.5.7 by ブレビコミン)

参考、関連文献
・季刊 化学総説 No.33,1997 「バイオファインケミカルズ」 日本化学会編(1997)

・シクロデキストリン-基礎と応用- 産業図書(1995)

・大学院有機化学I  野依良治ら著 東京化学同人(1999)

・シクロデキストリンー基礎と応用(1995)

 

超分子科学―ナノ材料創製に向けて

 

参考、関連サイト
シクロデキストリンについて

β-シクロデキストリン分子と通気性のある障壁におけるそれらの利用

化学修飾シクロデキストリン

オリゴ糖の分析=シクロデキストリン

The Society of Cyclodextrins, Japan

包接化合物/シクロデキストリン

Home Page of Sanyo Hamai

Cyclodextrin Technologies Development, Inc.

cyclodextrin-bradykinin inclusion complex

PDFファイル

スペーサー改良型シクロデキストリン系光学異性体分離用カラム

生体材料レポート

シクロデキストリンの機能化:二級水酸基へポルフィリンの選択的導入

分子認識に基づく特異的分子複合体の形成と機能発言に関する基礎的研究

MALDI-TOF質量分析による新しい構造解析法

CYCLODEXTRINS IN PHARMACEUTICAL FORMULATIONS

Effect of β-Cyclodextrin Complexation

超分子ワールド