Chem-Station-WhatsNew!-BBS-GuestBook-Chat-オークション-サイトマップ


DNAと遺伝情報

 

 「遺伝子」「DNA」などの言葉は今ではすっかりおなじみです。今回は、高校生物をかじった方ならご存じかもしれませんが、そのDNAの構造の成り立ちと、どのようにして遺伝情報が伝えられているのか、といったことについて基本的な部分をお話ししたいと思います。

 

核酸とヌクレオチド


 DNAは一般に「核酸」と呼ばれる物質の仲間です。
 核酸は大きく分けてデオキシリボ核酸(deoxyribonucleic acid;DNA)とリボ核酸(ribonucleic acid;RNA)に分けられます。この核酸の構成単位がヌクレオチドと呼ばれる物で、糖にアミン塩基がついたヌクレオシドがリン酸化された物です。


 DNAもRNAも同じ核酸ですが、糖の部分が異なるため別の分類がなされています。DNAで用いられている糖は2'-デオキシリボース、RNAで用いられている糖はリボースという糖です。番号にダッシュがつけられているのは後述するアミン塩基環の番号と区別するためです。


 塩基部分は各核酸について4種類づつ存在していますが、DNAとRNAでは塩基の構成が微妙に異なります。DNAではThymine(T)が構成要素に入っていますが、RNAではそれがUracil(U)に置き換わっています。
 以下に構成塩基の種類をまとめておきます。塩基はAdenineはA、ThymineはTというように一文字の省略記号で表されることが多いです。構造式のRの部分に糖の1'炭素が結合してヌクレオシドを形成します。

プリン系

ピリミジン系

DNA

Adenine(A)

Guanine(G)

Cytosine(C)

Thymine(T)

RNA

Adenine(A)

Guanine(G)

Cytosine(C)

Uracil(U)



 核酸は5'位と3'位との間にリン酸を挟んだリン酸エステル多量体の形で存在します。一端は3'炭素についた遊離ヒドロキシル基(3'末端)、もう一端は5'炭素についたリン酸残基(5'末端)です。
 DNA分子は非常に大きく、分子量はおよそ1500億にもなるといわれています。DNAの一般的構造を下に示しておきます。図上方が5'末端で下方が3'末端の方向になります。青で囲った塩基の部分がいろいろと変わることで遺伝情報が伝えられます。

 RNAの構造は、基本的にはDNAと同じです。構成塩基の種類と、糖部分がリボースであることが違いです。RNA分子はDNAに比べて小さく、分子量は35000程度から存在します。

 

 

DNAの二重螺旋構造


 1953年、James D. WatsonとFrancis H. C. CrickはX線結晶構造解析などの結果から、DNAの二次構造に対するある提案を行いました。それは、「DNAの構造は、2本のポリヌクレオチド鎖が絡み合った二重螺旋構造である」、というものでした。それぞれのヌクレオチドは右巻きで、互いに逆方向を向いています(図参照)。
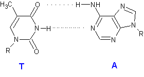
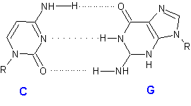
 この構造を維持しているものは塩基間の水素結合です。下の構造式が示すように、A-T間G-C間で水素結合が形成され、二重螺旋構造が維持されます。他の塩基間ではうまく水素結合を形成することができません。各塩基の割合はポリヌクレオチド鎖によって異なりますが、一方の鎖にAがきたら、他方にはTといった風に二本のDNA鎖間にはAとT、CとGが必ず同数存在します。

 

 A-T間の水素結合は2本であるのに対し、G-C間の水素結合は3本存在します。DNAは熱を加えると二本鎖がほどけて一本鎖になるのですが、G-Cペアの方が結合は強いため、完全にほどけて一本鎖になる時の温度は、DNAのG-Cペア含有量にほぼ比例します。

 

核酸と遺伝


 遺伝子に用いられる物質が満たす必要条件は
   @化学物質として安定
   A全く同じ分子が複製される
   B親から子へ遺伝情報を正確に伝えられる
などです。DNAはこれらの条件を十分に満たしており、自然界が進化の過程でDNAを遺伝物質として選んだというのも納得のいくことです。
 生物の遺伝情報はDNAに含まれるA,T,C,Gの塩基配列で記述されます。A,T,C,Gの並び方は遺伝情報を記述する暗号のようなもので、これに従って生体内で直接活動する酵素などのタンパク質が作られます。この情報量はきわめて膨大です。たとえばヒトゲノムは約30億の塩基対からなっているといわれています。つまり単純計算で43000000000通りが記述できる計算になります。

 遺伝情報伝達の際、生体内で実際に行われているのは、いわゆるセントラルドグマと呼ばれるプロセス(下図)です。大きく分けて複製、転写、翻訳の3段階からなります。(レトロウィルスのようなごく一部の生物ではRNA→DNAという情報伝達様式(逆転写)が存在します。)

 生物は、DNAに記述された塩基配列を読みとってRNAに写し取り(転写)、そのRNAの形で不必要な情報を除去(スプライシング)し、必要な情報のみを使ってタンパク質を合成する(翻訳)というプロセスをとっているわけです。細胞分裂などの際、全く同じDNAが作られる必要がありますが、このプロセスが複製です。DNAの場合半保存的複製という方式がとられます。
 セントラルドグマの詳しい機構については、のちのちコラムとしてまとめてみたいと思っていますが、関連サイトや分子生物学の教科書などをとりあえず参照していただきたいと思います。


 今回の話は有機というより、むしろ分子生物学的分野でしたがいかがでしたか?分子生物学といえども、根底にある水素結合や構造解析手法などの概念は、有機化学でももちろんのこと、現代科学では非常に重要です。こういう知識の集大成として、美しい構造、2重螺旋構造が導き出されたわけです。まったく人間の「知」には恐れ入りますね。

科学って面白いね!


(2002.3.8 by cosine)

 

参考、関連文献

 

・「マクマリー有機化学 第5版(下)」John McMurry 東京化学同人
・「モリソンボイド有機化学 第5版(下)」Robert T. Morrisonら 東京化学同人
・「MOLECULAR CELL BIOLOGY(Forth Edition)」D.Baltimoreら Freeman
・「入門ビジュアルサイエンス ヒトゲノムの仕組み」大石正道 日本実業出版社

 

DNADNA

一般の読者に遺伝学を説明している類書は多く出ているが、本書のほかにない特徴は、あの有名なワトソン&クリックのジェームス・ワトソンその人が著者であることだ。ワトソンと共著者のアンドリュー・ベリーは、メンデルからゲノム配列解析までの遺伝学の歴史を明確に分かりやすく説明している

.

.

.

 

関連リンク

 

セントラルドグマ
The Central Dogma of Biology
Central Dogma of Molecular Biology
近代遺伝学の流れ
遺伝と情報
有機って面白いよね!〜発ガンの仕組み〜
バイオテクノロジーQ&A
Computer Model of the DNA helix
DNA CG Gallery
DNA Computer