Chem-Station-WhatsNew!-BBS-GuestBook-Chat-オークション-サイトマップ


ビタミンの働きPart.1

    

ビタミンとは

 

 ビタミンとは「体内の代謝をはじめとする種々の生理現象に重要な役割を演じ、しかも体内で生合成されない為に外部から摂取しなければならない微量必須の有機化合物」(有機工業化学 妹尾学、田村利武、平井長一郎、飯田隆 共立出版株式会社より)とある。ビタミンB6やナイアシンなどは生合成されるがそれだけでは必要な量に足りず、外部から摂取する必要があるためビタミンに含まれる。

 

 ビタミンは発見順あるいは作用機構ごとにビタミンA(3種類)、B(9種類12個)、C(1種類)、D(2種類)、E(2種類)、K(2種類)に分類されており、このうちビタミンB、Cは水溶性ビタミン、ビタミンA、D、E、Kは脂溶性ビタミンである。

 

 ビタミンにはたくさんの種類が存在するため今回はビタミンB群のうちビタミンB、ビタミンB2、ビタミンB6、ビタミンB12、ナイアシンについて紹介する。

 

ビタミンB群

 

 ビタミンB群にはビタミンB1、ビタミンB2、ビタミンB6、ビタミンB12、ナイアシン、パントテン酸、ビチオン、葉酸、リポ酸の9種類がある(図1、図2)。

 

図1 ビタミンB群(ビタミンB1、ビタミンB2、ビタミンB6、ビタミンB12)

 

 

図2 ビタミンB群2(ナイアシン、パントテン酸、ビチオン、葉酸、リポ酸)

 訂正 folic acid 化学構造--X左端が H3C→○H2N

 

 ビタミンB群はすべて構造が異なるが、すべて補酵素として生理活性機能を持っている。補酵素とは、酵素の中には補因子が存在した場合のみ酵素活性を示すものがあり、この補因子にあたるのが補酵素である。

 

ビタミンB1

 

 ビタミンB1は米ぬかから単離され、硫黄分を持ったアミンであることからチアミンとも呼ぶ。ピリミジン核とアルコール性水酸基を持ったチアゾール環からなり、このアルコール性水酸基がリン酸2分子とエステル結合し(図3)、糖質代謝系酵素の活性補酵素となる(ケトール基転移反応、α-ケト酸酸化脱炭酸反応に関与)。また、補酵素作用以外にも抗神経炎作用が知られている。

 

図3 ビタミンB1(左)とその補酵素型(右)

 

 ビタミンB1は、微生物では生合成できるが、動物ではできないため外部から摂取する必要がある。

 

ビタミンB2

 

 ビタミンB2は、補酵素作用がはじめて確認された化合物であり、蛍光色素フラビンの10位にリビトールが縮合した構造であることからリボフラビンとも言う。

 

 補酵素型にはフラビンモノヌクレオチド(FMN)とフラビンアデニンジヌクレオチド(FAD)の2種類があり、アデノシン5'-三リン酸(ATP)により生成する(図4)。

 

図4 ビタミンB2の補酵素生成反応

 

 生成したFMN、FADは種々の酵素(アミノ酸オキシターゼ、NADHデヒドロオキシターゼetc)の補酵素となり、細胞呼吸、水素や電子の伝達に関与している。また、還元型補酵素NADHやNADPHから水素を奪い還元されロイコフラビンとなり糖質代謝系酵素の補酵素となる。

 

ビタミンB6(ビタミンB6群)

 

 ビタミンB6作用を持つ物質にはピリドキシン(アルコール型)、ピリドキサール(アルデヒド型)、ピリドキサミン(アミン型)の3種類が存在し、ネズミの抗皮膚炎因子として発見された。

 

 ビタミンB6は生体内でピリドキサールキナーゼによってリン酸エステル化しそれぞれピリドキシンリン酸(PNP)、ピリドキサールリン酸(PLP)、ピリドキサミンリン酸(PMP)となり、PNP、PMPはPMPオキシターゼによってPLPへ変換される(図5)。

 

図5 ビタミンB6の補酵素生成反応

 

 PLPはアミノ酸転移酵素、脱炭酸酵素などの補酵素でアミノ酸代謝や神経伝達に関与している。ビタミンB6はヒトの腸内細菌が生合成で切るために欠乏症にはなりにくい。

 

ビタミンB12

 

 ビタミンB12はシアノコバラミンともいい、その分子量は1355.4と天然有機化合物(高分子除く)のなかでかなり大きなものである。このため構造決定も非常に難しいものであり、これを行ったD.M.C.HodgkinはビタミンB12を含む生理活性物質の立体構造の決定という功績により、1964年にノーベル化学賞を受賞している。

 

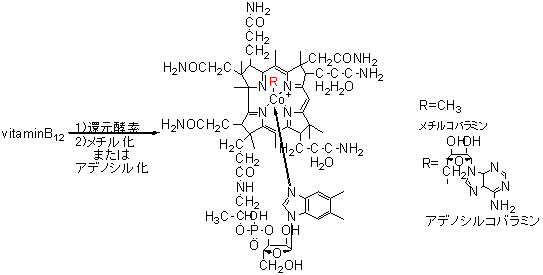
 ビタミンB12は生体内で還元酵素の働きで還元された後、アデノシル化またはメチル化され補酵素形となる(図6)。

 

図6 ビタミンB12の補酵素生成反応

 

 メチルコバラミンは補酵素形の葉酸の生合成に関与しており、アデノシルコバラミンはアミノ酸代謝により生成したサクシニルCoAをクエン酸回路に進行させる機能を持っている。

 

ナイアシン

 

 ナイアシンはニコチン酸(ニコチン酸アミドも含む)ともいい、米ぬかから分離されたものである。他のビタミン類と異なり肝でトリプトファンから生合成されるという特徴をもち、この際にビタミンB2、ビタミンB6が関与している。

 

 ナイアシンの補酵素形には2種類あり、ナイアシンとリボースがβ-グリコシル結合をしニコチン酸アミドアデニンジヌクレオチド(NAD)とNADのグルコース部分の6位がリン酸化したコチン酸アミドアデニンジヌクレオチド(NADP)である(図7)。

 

図7 ナイアシンの補酵素生成反応

 

 NAD、NADPはほとんどすべての酵素反応に関与しており、主な働きは生体酸化還元系での水素原子の伝達である。

 

 一言でビタミンといってもいろいろな種類が存在し、それぞれ異なった役割をしている。化学って面白いよね!!

(2001/3 ボンビコール)

参考文献
・有機工業化学  妹尾学、田村利武、平井長一郎、飯田隆  共立出版株式会社

・化学辞典  東京化学同人

関連サイト