Chem-Station-WhatsNew!-BBS-GuestBook-Chat-オークション-サイトマップ


分子軌道法によるスピン多重度・反応性の制御

 

  前回の私(YU)のトピック(有機化学者のための分子軌道法)の中で有機化学者向けに分子軌道法について説明させて頂きました.σタイプの相互作用やπタイプの相互作用,また2:1や2:2:1の相互作用など色々出てきましたね.その他にも特殊な相互作用としてスルースペース相互作用スピロ共役スルーボンド相互作用などというものがありました.今回は分子設計の際にこれらの相互作用をうまく取り込むことによってスピン多重度や反応性を制御している研究例を紹介しましょう.今回のお話にはスルースペース相互作用等の考え方が頻出しますので,知らない方は前回の私のトピックを理解してから読むことをお勧めします.反応性の制御には立体的要素を利用するものもありますが,このように電子論の観点から制御するというのも論理的で大変意義のある研究だと思いませんか.それでは始めましょう.

 

無置換シクロペンタン-1,3-ジラジカル

 

 シクロペンタン-1,3-ジラジカルという分子を御存知でしょうか?右に示したように大変単純なビラジカルです.しかしこの分子,分子軌道論的には大変興味深いものがあります.このような小分子にも関わらず有機化学や物理化学,理論化学の分野においてこれまでに多くの研究例があり,その多くがJACS等の有名ジャーナルに報告されているのです.その中でも特に大阪大学の安倍とワシントン大学のBordenらにより精力的な研究が行われてきました.そこでまず,この分子についてのお話から始めましょう.
この分子の最大の特徴は基底状態のスピン多重度が三重項ということです.これまでにESRや計算化学により確認されています.計算化学によると一重項状態よりも三重項状態の方が0.6〜1.4 kcalmol–1程度エネルギー的に低いと見積もられています.では,何故基底三重項になるのでしょうか?分子軌道法を用いて考えてみましょう.
 1の分子軌道は二つのプロピルラジカルの分子軌道を元に組み立てることができます(図1).二つのp軌道が五員環の1,3位という比較的近い距離に固定されるわけですから相互作用が発現します.スルースペース相互作用ですね.それにより軌道が結合性軌道ΦSと反結合性軌道ΦAの二つに分裂します.そして,フント則に従って電子を詰めていくと・・・.基底一重項になってしまいます.これでは基底三重項という事実に反しますね.そうです,この分子における相互作用はこれだけではないのです.2位の炭素上にあるC-H結合を忘れてはいけません.このC-H結合のσ軌道は擬π結合としてスルーボンド相互作用に関与するのです.

 

図1. シクロペンタン1,3-ジラジカルの分子軌道の組み立て
 

  もう少し細かく見ていくことにしましょう.C-H結合の軌道は結合性のΦ1と反結合性のΦ2があります(図2).いずれも軌道の対称性としてはΦSと相互作用が可能です.ΦAとは対称性の都合上相互作用しません.しかし,ΦSとΦ2はエネルギー差が大きいため第一次近似としては相互作用をしないと考えられるのです.よって,図2のようにΦSとΦ1が相互作用し結合性軌道と反結合性軌道ΨSに分裂します.一方,ΦAはいずれとも相互作用しないため,非結合性軌道ΨAとなります.結果として,都合の良いことにこれら二つのΨSとΨAはほぼ同エネルギーとなり縮退します.このようにしてできた分子軌道にフント則に従い電子を詰めていくと確かに基底三重項となりますね.


図2. スルーボンド相互作用を考慮したシクロペンタン1,3-ジラジカルの分子軌道

 

2位にフッ素を導入したシクロペンタン-1,3-ジラジカル

 
 上述したシクロペンタン-1,3-ジラジカルは基底三重項ですが2位の炭素上にフッ素を導入すると基底一重項になることが理論計算による研究で報告されました.しかも,一重項状態の方が三重項状態よりも6〜11 kcalmol–1程度も安定だというのです.これは一体何故なのでしょうか?その点について分子軌道を用いて説明しましょう.

 

 スルースペース相互作用の大きさは二つの軌道間の距離で決まるため,導入したフッ素の影響はないことが明らかです.ということはスルーボンド相互作用にフッ素が強く影響していると考えられます.高校化学で習った通りフッ素原子は電気陰性度が大きな原子です.つまりこれは,HOMOおよびLUMOのエネルギー準位が低いことを意味します.これを踏まえてフッ素を2位に導入した際の分子軌道を考えてみましょう.C-F結合のΦSとΦ2はC-H結合のそれらに比べてエネルギー的にずっと低い位置にきます(図3).図3にC-H結合のHOMOとLUMOのエネルギー準位を橙色で示しておきました.すると,Hの時にはエネルギー差がありすぎて相互作用のなかったΦSとΦ2が相互作用するレベルまでエネルギーが近くなりました.

 

 一方,これまで相互作用していたΦSとΦ1は逆にエネルギー的に離れてしまい相互作用しなくなるのです.ΦAは相変わらず軌道の対称性の都合上相互作用をしません.結果としてΦSとΦ2が相互作用をして結合性軌道ΨSと反結合性軌道を生じます.この状態でフント則に従い電子を詰めると基底一重項になるわけです.

 

図3. 2位にフッ素を導入したシクロペンタン1,3-ジラジカルの分子軌道

 

 

2位にケイ素を導入したシクロペンタン-1,3-ジラジカル

 
 興味深いことに2位にケイ素(シリル基)を導入しても基底一重項になることが理論計算により求められました.この場合,一重項の方が三重項よりも2〜4 kcalmol–1程度安定であると報告されています.ケイ素はフッ素ほど電気陰性度が低くないにも関わらずこれはどうしてでしょうか?結論から言うと,C-Si結合のHOMO,LUMOはC-H結合のそれらよりもエネルギー的に高くなるため,ΦSとの相互作用の程度が大きくなるのです.それが元となり基底一重項となります.図4を使って具体的に説明しましょう.図3と同じくC-H結合のHOMOとLUMOのエネルギー準位を橙色で示しておきます.C-Si結合の時の方がエネルギー的に高くなっていることが分かるかと思います.相互作用のパターンとしてはC-H結合の時と同じくΦSとΦ1が相互作用するのですが,その軌道間のエネルギー差が小さくなったため,相互作用の程度が大きくなり軌道エネルギー変化も大きくなるのです.結果としてΨSはΨAよりも上に押し上げられ縮退はしません.ここにフント則に従って電子を詰めると,やはり基底一重項になることが分かるかと思います.

 

図4. 2位にケイ素を導入したシクロペンタン1,3-ジラジカルの分子軌道  

 

22位に酸素を導入したシクロペンタン-1,3-ジラジカル

 
 2位に酸素(ヒドロキシル基,メトキシ基,エチレンケタール基)を導入した際にも基底一重項になることがやはり理論計算から求められました.酸素はフッ素同様に電気陰性度の大きな元素ですのでこれはある意味予想通りの結果と言えるかもしれません.基底一重項になる理由もフッ素の時と同じでΦSとΦ2の相互作用によるものです.と,これだけではフッ素と同じですので私もわざわざここで取り上げません.実は酸素を導入した際にはまた別の興味深い結果が得られたのです.それについて紹介しましょう.


 2位に置換基を導入した各置換体の一重項と三重項のエネルギー差(ΔEST)を下の表1にまとめました.いずれの化合物も基底状態は一重項となります.これを見ると,フッ素を導入した際のΔESTが最も大きいことが分かります.これは,フッ素のΦ2が酸素のそれよりもエネルギー的に低いためにΦSとのエネルギー差が小さくなり,酸素の時よりもより効率的に相互作用するためと考えられます.また,ヒドロキシル基を導入した時とメトキシ基を導入した際のΔESTにはほとんど差がないことから酸素原子のみがΔESTの変化に関与しており,その先に付いているHやCH3はほとんど影響を及ぼさないことが分かります.しかし,これらのヒドロキシル基やメトキシ基を導入した時に比べて,エチレンケタール基を導入した際にはΔESTがずっと大きくなっていることが分かります.これはなぜでしょうか?ここではその点についてお話しましょう.結果を先に言うと酸素原子上の孤立電子対を収容している軌道が深く関与しているのです.

   

表1. 各置換体の一重項と三重項のエネルギー差


 図5を見てください.一番左に書いた軌道はフッ素を導入した時(図3)と同じ相互作用のみを考慮した際のΨSとΨAです.図3のΨSとΨAとほぼ同じですね.続いて図5の一番右に示した軌道は酸素の孤立電子対の入った軌道です.本来はsp3の形を持つのでしょうがここでは近似的にp軌道の形で示しました.この軌道,実はΨAと相互作用するのです.そうです,スピロ共役ですね.その効果により軌道の分裂が起こり結合性軌道ΨAnと反結合性軌道が新たにできます.

 

   一方,ΨSはその対称性のため相互作用せず,非結合性軌道ΨSnを生じます.ここで注目すべきはスピロ共役導入前後のHOMO-LUMOのエネルギー差(ΔEH-L)です.図5ではピンクで示しました.スピロ共役を導入することによってΔEH-Lが大きくなっていることが分かります.ΔEH-Lが大きくなるとΔESTも大きくなりますので,酸素原子を導入した際には二つの電子的効果(ΦS,Φ2間の相互作用とスピロ共役)の働きによりΔESTが決まっていることが分かります.しかし,それは分かっても依然としてヒドロキシル基を導入した際とエチレンケタール基を導入した際のΔESTの違いは説明できません.いずれの置換基でもΦS,Φ2間の相互作用とスピロ共役は働くと考えられるためです.しかし,実はスピロ共役の大きさがこれら二つの置換基を導入した際で大きく異なるのです.そして,それをもたらしているのは立体化学なのです.その点について大阪大学の安倍らが詳しく研究を行っておりますので以下説明致します.

 

 図5. 2位にエチレンケタール基を導入したシクロペンタン1,3-ジラジカルの分子軌道 

 
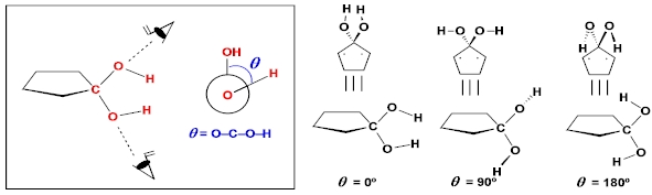
  2位にヒドロキシル基を導入したシクロペンタン-1,3-ジラジカルにおいて二面角θを図6のように定義します.少し分かりにくいので例を三つほど右に載せておきました.この分子において二面角θを0°から180°まで30度ずつ変化させ,その時のΔESTを計算すると0°の時が最大になりました.次いで180°の時が大きく,90°の時が最小でした.中間の角度の時はこれら0°,90°,180°の際のΔESTをなめらかに結んだ放物状の曲線上の値となりました.これはある意味,予想通りの結果と言えます.スピロ共役に関わる軌道を考えた際,θが0°か180°の時がΨA軌道との重なりが最大となるためです.そして,エチレンケタール基,ヒドロキシル基,メトキシ基を導入した際の二面角θはそれぞれ12.0°,51.2°,61.8°と算出されました.以上の結果より,エチレンケタール基を導入した際のΔESTがヒドロキシル基,メトキシ基を導入した際に比べて大きな値を持つことが説明されました.
 

図6. 2位にヒドロキシル基を導入したシクロペンタン1,3-ジラジカルのにおける二面角qの定義と例
 

 

軌道相互作用とラジカルカチオン


 ここまではジラジカルにおける軌道相互作用について詳しくお話してきました.ここからは軌道相互作用とラジカルカチオンの研究例について簡単に紹介しましょう.1,3-ジラジカル系において大きな軌道相互作用があることが理論計算により分かりましたが,1,3-ラジカルカチオンにおいてはどうなのでしょうか?その点については理論計算よりも分光学的な実験を中心とした研究がなされています.
 東北大学の宮仕教授らはシクロヘキサン-1,3-ラジカルカチオン (2・+) のような化学種を発生させ,レーザー分光法を用いて紫外可視吸収スペクトルの観測に成功しました.2・+においてカチオン部とラジカル部に相互作用がないのであれば,そのスペクトルは単に部分構造であるラジカル3とカチオン3+のスペクトルの重ね合わせになることが予想されます.これら33+はいずれも300〜350 nm付近に吸収バンドを持つことが知られています.しかし,実際に得られた2・+の吸収スペクトルは500 nm付近に吸収バンドが出現しました.この結果からやはりラジカルカチオンにおいても1,3-ジラジカルのようなスルースペースおよびスルーボンド相互作用が存在することが明らかとなりました.また,宮仕教授らはシクロヘキサン-1,4-ラジカルカチオン (4・+) のような化学種のスペクトル測定にも成功しており,1,4系においても強い軌道相互作用が存在することを報告しています.この場合,1,3系とは異なるタイプの軌道相互作用の存在が推測されますね.大変興味深い研究です.

 

 

 

軌道相互作用と反応の選択性

 
 最後に分子軌道と化学反応の選択性の関係を示す研究例を紹介したいと思います.電気通信大学の平野および東北大学の池田らは7-ジフェニルメチレンノルボルネンラジカルカチオン(5•+)に対して分光学的研究と理論計算による分子軌道の考察を行っています.


 まず,ここでラジカルカチオンではなく中性状態の7-ジフェニルメチレンノルボルネン(5)の分子軌道を組み立ててみましょう.図7のようにノルボルネンのHOMOと7-ジフェニルメチレンノルボルナンのHOMOが2:1タイプの相互作用をし,結合性軌道Ψ1と反結合性軌道Ψ2を生じます.これまで説明には出てきませんでしたが実は,結合性軌道というのは軌道間に引き合う力(引力)が生じ,反結合性軌道では離れようとする力(斥力)が働くのです(図7右上).中性状態の5では結合性軌道と反結合性軌道に電子が二個ずつ入っているため,これらの引力と斥力は相殺しています.ではラジカルカチオン状態ではどうでしょうか?5をラジカルカチオンにするためにはΨ2から電子を一つ引き抜けばいいですね.するとどうでしょう,斥力に寄与していた電子が一つ減るわけですから引力と斥力のバランスが崩れます.斥力が弱くなる相対的効果で引力の効果が出現し,分子が傾いた構造をとることが予想されます.実際その点について理論計算を行ったところ,予想通りやや傾いた構造を持つことが明らかとなりました.このラジカルカチオンはこのような傾いた構造を持つために求核試薬との反応の際に面選択性があることも明らかとなりました.

 

図7. 7-ジフェニルメチレンノルボルネンの分子軌道の組み立て 

 

 下に示すスキーム1のようにメタノールによる捕捉実験ではほぼ定量的に6を与え,7の生成は認められませんでした.以上の結果より平野らは非古典的ラジカルカチオンという新たな概念を提案するに至りました.

 

 

 


 続いて軌道Ψ2から電子をもう一つ引き抜いたらどうなるでしょうか.電荷的には2価になるためジカチオンになりますね.また,斥力に寄与していた電子がさらに減るため,5・+よりもさらに傾いた構造になることが推測されます.その点についても理論計算が行われており,下の図8に示すように大変顕著に傾いた構造を持つことが明らかになりました.こちらのジカチオンは実際に発生させることは困難ですが,計算化学の威力がよく分かる研究結果と言えます.この結果から平野らはさらに非古典的ジカチオンという概念も提案するに至っています.

 

図8. 理論計算により求められた 52+の立体構造

 

おわりに

 
 このトピックを読んでも分かるとおり最近では有機化学の世界にも分子軌道法がかなり取り入れられてきています.そして,それを力強く支えているツールの一つが計算化学とも言えるでしょう.ということで,次回は有機化学者向けに計算化学のお話をしたいと思います.
 

(2005.6. 15 YU)

 

参考、関連文献

 

●シクロペンタン-1,3-ジラジカルに関する文献

Xu, J. D.; Hrovat, D. A.; Borden, W. T. J. Am. Chem. Soc. 1994, 116, 5425-5427.

Abe, M.; Adam, W.; Nau, W. M. J. Am. Chem. Soc. 1998, 120, 11304-11310.

Abe, M.; Adam, W.; Heidenfelder, T.; Nau, W. M.; Zhang, X. J. Am. Chem. Soc. 2000, 122, 2019-2026.

Abe, M.; Adam, W.; Ino, Y.; Nojima, M. J. Am. Chem. Soc. 2000, 122, 6508-6509.

Abe, M.; Adam, W.; Hara, M.; Hattori, M.; Majima, T.; Nojima, M.; Tachibana, K.; Tojo, S. J. Am. Chem. Soc. 2002, 124, 6540-6541.

Zhang, D. Y.; Hrovat, D. A.; Abe, M.; Borden, W. T. J. Am. Chem. Soc. 2003, 125, 12823-12828.

Abe, M.; Ishihara, C.; Nojima, M. J. Org. Chem. 2003, 68, 1618-1621.

Abe, M.; Adam, W.; Borden, W. T.; Hattori, M.; Hrovat, D. A.; Nojima, M.; Nozaki, K.; Wirz, J. J. Am. Chem. Soc. 2004, 126, 574-582.

Abe, M.; Kawanami, S.; Ishihara, C.; Nojima, M. J. Org. Chem. 2004, 69, 5622-5626.

Abe,M.; Ishihara, C.; Tagegami, A. J. Org. Chem. 2004, 69, 7250-7255.

Abe, M.; Ishihara, C.; Kawanami, S.; Masuyama, A. J. Am. Chem. Soc. 2005, 127, 10-11.

●シクロヘキサン-1,3-ラジカルカチオンに関する文献

Ikeda, H.; Hoshi, Y.; Miyashi, T. Tetrahedron Lett. 2001, 42, 8485-8488.

 

●シクロヘキサン-1,4-ラジカルカチオンに関する文献

Ikeda, H.; Minegishi, T.; Takahashi, Y.; Miyashi, T. Tetrahedron Lett. 1996, 37, 4377-4380.

Ikeda, H.; Ishida, A.; Takasaki, T.; Tojo, S.; Takamuku, S.; Miyashi, T. J. Chem. Soc. Parkin Trans. 2, 1997, 849-850.

Ikeda, H.; Minegishi, T.; Abe, H.; Konno, A.; Goodman, J. L.; Miyashi, T. J. Am. Chem. Soc. 1998, 120, 87-95.

Ikeda, H.; Takasaki, T.; Takahashi, Y.; Konno, A.; Matsumoto, M.; Hoshi, Y.; Aoki, T.; Suzuki, T.; Goodman, J. L.; Miyashi, T. J. Org. Chem. 1999, 64, 1640-1649.

Miyashi, T.; Ikeda, H.; Takahashi, Y. Acc. Chem. Res. 1999, 32, 815-824.

7-ジフェニルメチレンノルボルネンラジカルカチオンに関する文献

Hirano, T.; Shiina, S.; Ohashi, M. J. Chem. Soc. Chem. Commun. 1992, 1544-1546.

Ishii, H.; Shiina, S.; Hirano, T.; Niwa, H.; Ohashi, M. Tetrahedran Lett. 1999, 40, 523-526.

Ikeda, H.; Namai, H.; Hirano, T. Tetrahedran Lett. 2005, 40, 3917-3921

 

早わかり分子軌道法 武次徹也,平尾公彦 著  裳華房早わかり分子軌道法

 

 分子軌道法の基礎を解説したテキスト。分子軌道の概念に至る流れの全体像がつかめるように構成。分子の科学、ボルン・オッペンハイマー近似、1中心1電子系、独立電子近似、ハートリー法などについて解説。

 
 

図説 量子化学―分子軌道への視覚的アプローチ 図説 量子化学―分子軌道への視覚的アプローチ

 大野公一,岸本直樹,山門英雄 著  裳華房

 原子軌道と分子軌道、原子軌道の図示、分子軌道の組み立てと図示の基本、いろいろな分子の分子軌道等を解説。電子軌道運動やエネルギー準位のイメージを利用しながら、化学元素の性質の由来や化学結合の仕組みを学ぶための本。
 
分子軌道法をどう理解するか

 吉田政幸 著  東京化学同人
 
量子化学 

大野公一 著,梅沢喜夫 編,竹内敬人 編  岩波書店量子化学
化学結合と化学反応の量子論を根底から理解できるようにていねいに解説します.はじめて学ぶ読者のために,電磁気の基礎や波のとらえ方など高校物理の復習から始め,基本的な概念は図をまじえて繰り返し説明しています.また,例題・演習問題をたくさん用意し,実際の計算を通して応用力が身につくように構成しました.
 
量子物理化学 

大野公一 著  東京大学出版会
 物質科学における量子論的・分子論的アプローチの基礎を、原子・分子および分子集団の構造論に重点を置いて新たに体系化し、「量子物理化学」の教科書または参考書として大学前期課程から利用できるように取りまとめたものである。


 

関連リンク

 

電気通信大学量子物質工学科 平野研究室 
 

【用語ミニ解説】

 

スルースペース相互作用

 

結合生成することのない空間を介した軌道相互作用。

 

有機化学者のための分子軌道法

 

 

ESR

 

電子スピン共鳴(Electron Spin Resonance)。

 

 電子スピン共鳴―素材のミクロキャラクタリゼーション
電子スピン共鳴―素材のミクロキャラクタリゼーション

 

豊富な実例で示すESRによる素材の測定法。素材の物性は電子の状態によって左右される。その電子状態をESRでどのように解明できるか、ESR自体の理解よりは素材への応用を目的に、豊富な実例で解説。

 

 

 

 

 

 

 

 

 

 

 

 

 

 

 

 

 

 

 

 

 

  

 

 

 

 

 

 

 

 

 

 

 

 

 

 

 

 

 

 

 

 

 

 

 

 

 

 

 

 

 

 

 

  

 

 

 

HOMO, LUMO

 

HOMO(最高占有分子軌道)。LUMO(最低非占有分子軌道)。

 

port:3016 / Static Propaties / Frontier Orbital Theory

 

 

 フロンティア軌道法入門―有機化学への応用
フロンティア軌道法入門―有機化学への応用

 

 

 

 

 

 

 

 

 

 

 

  

  

 

 

 

 

 

電気陰性度(Wikipedia)

 

Electronegativity 。

 

 

 

 

 

 HOW TO分子シミュレーション―分子動力学法、モンテカルロ法、ブラウン動力学法、散逸粒子動力学法
HOW TO分子シミュレーション―分子動力学法、モンテカルロ法、ブラウン動力学法、散逸粒子動力学法