Chem-Station-WhatsNew!-BBS-GuestBook-Chat-オークション-サイトマップ


Cannizzaro!

 

Cannizzaro反応(図1)を知ってますか?

 

図1 Cannizzaro反応

 

 原料アルデヒドは、α-水素を持たないものである。α-水素を持っていると次の反応が進行してまうからである(図2)。

 

図2 α-水素を持つアルデヒドの場合

 

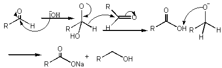
 Cannizzaro反応の反応機構を図3に示す。

 

図3 Cannizzaro反応の反応機構

 

 この反応は自身が酸化剤、還元剤となって進行する、とっても珍しい反応である。普通酸化還元反応は、酸化剤と還元剤が別のものである(表1)。

 

反応名 酸化剤 還元剤
PCC酸化 PCC アルコール
クロム酸酸化 クロム酸 アルコール
LAHによる還元 カルボン酸 LAH
NaBH4による還元 カルボン酸 NaBH4
Cannizzaro反応 アルデヒド アルデヒド

表1 酸化還元反応

 

 このため、2種のアルデヒドを用いると、酸化剤、還元剤が2種類ずつ存在することになるので、2種類のアルコールと、2種類のカルボン酸塩が生成する。

 

 有機って面白いよね!!!             

(by ボンビコール 2000/6/27)

関連サイト
Cannizaro反応(ODOOS)

【用語ミニ解説】

 

Cannizzaro

 

 

(写真:chemsoc

 

Cannizzaro, Stanislao(1826〜1910)自身で酸化還元反応を起こすカニッツァロ反応(Cannizzaro reaction)を発見。イタリアで副大統領まで勤めた。

 

有機化学の偉人

 

 

 

 

 有機人名反応
有機人名反応

 

発見者・発明者の名前がつけられた有機合成化学反応には重要なものが多く、系統的に学ぶことが重要である。最近開発された役立つ反応も含め、有機人名反応の基礎を、多くの実験例をもとに解説。