|
光エネルギーによって開始される反応を光化学反応(photochemical
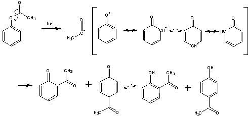
reaction)と呼ぶ。以下の反応が示すように、反応駆動力に熱を用いるか光を用いるかでは全く生成物が異なり、別の機構が生じていることがわかる。逆に、この点を考慮すると普通の手法では合成できない分子を有機合成するための強力な手法となりうる。
光化学はそれだけで本が何冊も書けるぐらい奥の深い分野である。ここでは有機合成的観点に絞ってその初歩をまとめてみることにする。
光化学反応は、基底状態(ground
state)にある分子が光を吸収することから始まる。分子が光を吸収すると、エネルギーの高い状態、励起状態(excited
state)になる。化学では光子を表すのにhνが用いられ、励起状態は分子の右肩にアスタリスク(*)をつけて表すことが多い。
光を吸収した分子のうち、どれくらいの分子が光反応を起こすに至ったかを示す指標が量子収量(quantum
yield)であり、Φで表す。量子収量は以下の式で定義される。
Φ = 反応した分子数/吸収された光子数
光反応不活性な分子の場合は量子収量は0であるが、写真フィルム上での感光反応のような連鎖反応では10の何乗にもなる。
基底状態の分子(S0)が光エネルギーを吸収すると、HOMOの電子がLUMOへ遷移して励起される。励起状態には2種類あり、HOMOとLUMOのスピン状態が逆平行なものを一重項励起状態(S1)、平行なものを三重項励起状態(T1)とよぶ。一般に三重項状態のほうが、相当する一重項状態より電子反発が少なく、より安定なエネルギー準位にある。一重項-三重項間の系間移動はスピン反転を伴うため一般に禁制(forbidden)遷移である。同じ多重度同士での系内移動に比べて起こる確率は非常に低い。以下に遷移の模式図を示す。スピン状態の違いのため、一重項状態と三重項状態では異なる反応が起きる。
一般に電子の質量は原子核に比べ非常に小さいので、電子遷移はきわめて短時間(10-16sec以内)に起こる。これは原子核振動の周期(10-12〜10-14sec)より短いため、原子間の相対的な位置は電子遷移によりほとんど変化しない。これをFranck-Condon原理と呼ぶ。
ある分子を、他の分子を介して強制的・間接的に特定の多重度励起状態にすることを増感(sensitization)という。この増感作用の仲立ちをする分子は増感剤(sensitizer)と呼ばれる。
たとえば、増感剤Dは一重項→三重項遷移が比較的起きやすく、物質Aは一重項→三重項遷移がおきにくいとする。このとき、Dを使ってAを三重項励起状態にすることが可能である(下図)。
増感剤として働く物質は、ベンゾフェノン、m-ジシアノベンゼン、色素ローズベンガルなどが知られている。フラーレンC60も増感剤として働くという報告がある。
光励起により電子はべつべつの軌道に入り、電子対は解消されるため、励起電子はラジカルとしての性質をもつ。実際の反応でもラジカル様反応が多く見られる。
・シスートランス異性化反応
二重結合の回転は熱反応では起こらないが光反応では起きる。 オレフィンを光励起すると、最高占有π軌道電子が一つ反結合性π*軌道に移る。これにより、π結合が反結合的になって、自由回転が可能になる。
このように、π電子の片方が励起して生じるビラジカル状態を経由して異性化が起こるのだが、厳密には三重項励起状態のみで起きる。下図に示すように、三重項状態ではπ結合がねじれた状態がもっともエネルギーが低い。このため三重項状態に励起されたオレフィンは、以下に示すようにねじれ状態を経由して異性化する。
・転位反応
光によって起こる転位反応で有名なものの一つに、光Fries転位がある。光Fries転位は以下に示すようにラジカル開裂・結合反応によって進行する。
シグマトロピー反応も、熱条件下で行うものと光によって進行するものとでは挙動が異なる。冒頭の2つの反応で、左辺の分子から右辺左側の分子へ変化する反応は、シグマトロピックな水素シフト機構で進行する。熱では1,5-シフト、光では1,7-シフトが起こる。
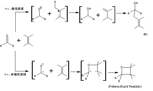
・環状付加反応
よく知られたものとして、シクロブタン光合成反応、Peterno-Buchi反応などがある。
シクロブタンの合成反応は[2π+2π]型環形成反応なので、通常の熱条件下では進行しない。この合成法は4員環形成に非常に有用な反応である。ペリ環状反応の話も併せて参照してほしい。

これに関連した面白い例として、ノルボルナジエンの分子内光環化反応がある。これによってできるクアドリシクランは非常にひずみの大きい分子である。つまり、この反応は光エネルギーをひずみエネルギーとして分子内に蓄えることに相当する。そのため太陽光エネルギーの収穫と貯蔵のモデルとして、盛んに研究がなされている。
Peterno-Buchi反応は[2π+2π]型環形成反応の一種であるが、協奏的にではなく、段階的機構(エキシプレックス-ラジカル機構)で進行する。溶媒の極性が高まると電荷移動が支配的になり、ラジカルイオン対が生成し、環はできにくくなる。
また、三重項増感剤存在下で生成させた一重項酸素もしくはスーパーオキシドの付加反応も似た機構で進む。
・開裂反応
Norrish TypeT/U開裂と呼ばれる反応が代表的である。関連サイト(Merck
Index)を参照してほしい。
光反応は独特で興味深い性質を多々持っているが、選択性の制御の難しさ、収率の悪さなどの問題があり、大量合成に適しているとは言い難い面がある。実際、工業利用されている光反応はナイロンの合成原料を製造するときの反応のみである。逆に言えばまだまだ改良の余地のある合成法だといえる。
つい最近、水を可視光で分解する触媒が開発された。有機化学と直接的な関係はないが、光を利用した反応例としてはすばらしいものだと思う。まだまだ光化学の分野は未解明のことが多いのだ、と改めて思わされる。非常に研究しがいのある分野ではないだろうか。
化学っておもしろいよね!
(2002.3.8 by cosine)
・「構造有機化学―有機化学を新しく理解するためのエッセンス」斎藤勝裕 三共出版
・「反応速度論―化学を新しく理解するためのエッセンス」斎藤勝裕 三共出版
・「光電子移動」George J. Kavamos著 小林宏 編訳 丸善
・「有機化学演習」吉原正邦ら共著 三共出版
・「Organic Chemistry (Fifth Edition)」Stanley H. Pine著 McGrawHill
・有機って面白いよね!〜ペリ環状反応〜
・光化学ML
・QUADRICYCLANE
・Molecular
Design using Sequential Pericyclic Reactions
・Merck
Index:Norrish Type Cleavage
・プレスリリース:可視光で水を分解する光触媒
|